低压成型材料的优点
成型快 提高生产效率
为什么要用底部填充胶
机械应力:减少焊点在产品跌落,弯曲时产生的机械应力
热应力:减少产品由于CTE不匹配所引起的热应力
在基板受到冲击时,减小基板与芯片在Z轴方向的相对变形,进而达到保护焊点目的
底填应用分类
BGA/CSP: 用于PCBA中BGA和CSP器件底部填充,以提高PCBA的耐温度冲击和跌落能力.要求快速流动、返修性和可靠性.
QFN: 用于FPC上的QFN保护,适用于“口”型点胶.
BGA底填点胶过程
点胶针头离元件距离
通常等于点胶针头外径的一半再加上0.2mm
点胶针头距PCBA高度
通常为60%~80%元件高度,或60~80%针头内径,不得低于针头内径的50%.
点胶方式
边角点胶: 在其中一个角上点胶,胶水流向另外一边;通常使用于尺寸6mm*6mm的小芯片;
I型点胶: 沿着芯片的一边点胶,适用于小芯片.
L型点胶: 适用于中、大尺寸芯片,而且要求填充速度较快,胶量要求大的场合.
点胶路径及胶水流动路线
点胶量
使外溢胶层高度达到芯片厚度的2/3为[敏感词](B=2/3A)
PCBA预热
加热使胶的粘度大幅下降,从而提高胶粘剂在元件底部的流动性能,使点胶速度、效率增加.
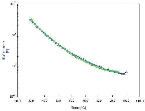
粘度和预热温度的关系
流动速度和粘度的关系
固化方式
烘烤箱: 批量固化,多用于元器件厂商.
回流焊: 流水线操作,多用于终端整机.
加热台,垂直炉: 一般用于维修工站
加水固化曲线
加水固化曲线
返修:
热风枪
竹签/镊子
测试方法:
1.温度:铲胶150℃,取件350℃
2.要求:枪与板距离3-5mm
